
A NuSTAR űrhajó és a NICER eszköz segítségével egy nemzetközi csillagászcsoport felfedezett egy új gyorsuló milliszekundumos röntgen pulzárt. Az újonnan felfedezett objektum, az IGR J17591-2342 jelzéssel, az ismert, milliszekundumos röntgensugárzó pulzusok még mindig rövid listájának legújabb kiegészítése. Erről egy augusztus 30-án az arXiv előnyomtató kiszolgálón közzétett dokumentum számol be.
A röntgen pulzárok súlyos, periodikus változásokat mutatnak a röntgen intenzitásában, amely rövidebb lehet, mint a másodperc töredéke. A milliszekundumos röntgensugárzó pulzusok (AMXP-k) akkreditációja egy olyan típusú röntgensugár-pulzár, amelyben rövid forgási periódusokat okoz az elhúzódó tömegtranszfer egy kis tömegű társakkal rendelkező csillagról az akreciós korongon keresztül egy lassan forgó neutron csillagig. A csillagászok az AMXP-t egyfajta asztrofizikai laboratóriumnak tekintik, amely kritikus fontosságú lehet a fúziós robbanási folyamatokkal kapcsolatos ismereteink bővítéséhez.
A mai napig csak 21 AMXP-t észleltek, a forgási periódusok 1,7 és 9,5 milliszekundum között mozognak. E konkrét objektumok listájának bővítése érdekében a tudományos közösség továbbra is aktívan keresi az ilyen forrásokat űrmegfigyelő központok, például a NASA Asztrofizikai Teleszkóp (NuSTAR) segítségével.
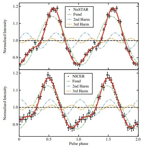
A közelmúltban egy kutatócsoport Andrea Sanna vezetésével, az olasz Cagliari Egyetemen a NuSTAR segítségével azonosította az új AMXP-t. Az IGR J17591-2342 nevű forrást eredetileg röntgensugár-tranziensnek minősítették, és 2018. augusztus 10-én benyújtották az Európai Űrügynökség Nemzetközi Asztrofizikai Gamma-Sugárkutatási Laboratóriumához (INTEGRAL) a galaktikus központ átvizsgálására. A csapat a NuSTAR segítségével figyelte meg ezt a forrást, amely adatokat tárt fel az objektum természetéről. A pulzár további megfigyeléseit a Nemzetközi Űrállomás (ISS) fedélzetén található Neutron Star Inner Composition Explorer (NICER) segítségével végeztük.
“Ebben a cikkben a NuSTAR és a NICER megfigyelési idejének koherens elemzését írjuk le, bemutatva a pulzár és a bináris efemerek forgási periódusát” – mondták a kutatók cikkükben.
A NuSTAR és a NICER adataiból a csapat összefüggő, körülbelül 527,4 Hz-es (1,9 milliszekundumos) röntgenimpulzusokat talált, amelyek csaknem 25 nappal készültek a 15 százalékos impulzusfrakció megszakadása után.

A dokumentum szerint az IGR J17591-2342 keringési ideje kb. 8,8 óra. A neutroncsillag tömegét körülbelül 1,4 naptömegre számították ki, és a kísérő legkisebb tömege valószínűleg 0,42 naptömeg.
Ezenkívül a csillagászok megjegyezték, hogy az IGR J17591-2342 a Tejút-galaxisunk közepe közelében található, mintegy 28 000 fényévnyire a Földtől. Megállapították, hogy a becsült felhalmozódási ráta körülbelül 0,52 milliárd egy naptömeg évente. Az IGR J17591-2342 még mindig a 22. ismert AMXP. A cikk szerzői hangsúlyozták, hogy felfedezésük gazdagítja e tárgyak összeírását, amelyek szükségesek a csillag evolúciójának későbbi szakaszainak megértéséhez.
